Functinal Analaysis
2026-01-19
Chapter 1 Banach space
1.1 Lebesgue spaces
1.1.1 a
Definition 1.1 markdown Let \(X\) be a set. A \(\sigma\)-algebra \(\mathcal{I}\) on \(X\) is a collection of subsets of \(X\) such that:
- \(\emptyset \in \mathcal{I}\),
- if \(E \in \mathcal{I}\), then \(X \setminus E \in \mathcal{I}\),
- if \(E_n \in \mathcal{I}\) for every \(n \ge 1\), then
\[ \bigcup_{n=1}^{\infty} E_n \in \mathcal{I}. \]
- Elements of \(\mathcal{I}\) are called \(\mathcal{I}\)-measurable sets,
- \((X,\mathcal{I})\) is a measurable space.
Definition 1.2 A function \(f : X \to \mathbb{C}\) is said to be measurable if \[ f^{-1}\bigl(\{\, z \in \mathbb{C} : |z - a| < \delta \,\}\bigr) \in \mathcal{T}\] for every \(\delta > 0\) and \(a \in \mathbb{C}\).
Definition 1.3 A (positive) measure is a function
\[ \mu : \mathcal{T} \to [0,\infty] \]
which is countably additive, in the sense that if \(\{E_n\}_{n=1}^\infty\) is a countable collection of disjoint measurable sets, then
\[ \mu\!\left( \bigcup_{n=1}^{\infty} E_n \right) = \sum_{n=1}^{\infty} \mu(E_n). \]
- The triple \((X, \mathcal{T}, \mu)\) is called a .
Notation :
- Let \(0 < p < \infty\),
\[\mathcal{L}^p(X,\mathcal{I},\mu):=\left\{f:X\rightarrow \mathcal{C}:f \text{ is measurable and }\int_X |f|^p d\mu<\infty\right\}\]
- Such functions are said to be \(p\)-integrable.
- \(\mathcal{L}^p\) norm of \(f\) \(= ||f||_p=\left(\int_X|f|^p\, d\mu\right)^\frac{1}{p}\)
- \(p=\infty\)
\[ \mathcal{L}^{\infty}(X,\mathcal{T},\mu) = \left\{ f : X \to \mathbb{C} \;:\; \exists\, M > 0 \text{ such that } |f| < M \ \text{[\(\mu\)]-a.e. on } X \right\}. \]
- Such functions are said to be essentially bounded.
- The essential norm \(=\) \(\mathcal{L}^{\infty}\) norm of \(f=
\|f\|_{\infty}
= \inf \left\{ M > 0 : |f| < M \ \text{[\(\mu\)]-a.e. on } X \right\}.\)
In this section we use the term “norm.” Strictly speaking, we have not yet verified that the expressions introduced actually satisfy the axioms of a norm. That verification will come later. For now, we use the word “norm” informally, with the understanding that its legitimacy will be established in due course.
Lemma 1.1 Let \((X,\mathcal{T},\mu)\) be a measure space, let \(0 < p < \infty\), and let \(f \in \mathcal{L}^{p}(X,\mathcal{T},\mu)\). Then
\[ \|f\|_{p} = 0 \quad \iff \quad f(x) = 0 \ \text{for [\(\mu\)]-a.e. } x \in X. \]
Proof.
.png)
Fact: \(\lambda \in \mathbb{C}, f\in \mathcal{L}^p(X,I,\mu), 0<p\geq\infty,||\lambda f||_p=|\lambda| ||f||_p\).
Proof. .png)
Lemma 1.2 Let \((X,\mathcal{T},\mu)\) be a measure space and let \(f \in \mathcal{L}^{\infty}(X,\mathcal{T},\mu)\). Then, for \[ |f(x)| \le \|f\|_{\infty} [\mu]-\text{a.e.} x \in X. \]
.png)
Result : If \(f,g\in \mathcal{L}^P(X,I,\mu)\) then \(f+g\in \mathcal{L}^P(X,I,\mu)\)
| \(1\leq p <\infty\) | \(p=\infty\) |
|---|---|
![]() |
![]() |
Lemma 1.3 (Young's inequality) Let \(a,b \ge 0\) and \(1 < p < \infty\). Let \(q\) be the conjugate exponent, i.e.
\(\frac{1}{p} + \frac{1}{q} = 1.\)
Then
\[ ab \le \frac{a^{p}}{p} + \frac{b^{q}}{q}. \]
.png)
Theorem 1.1 (Holder's inequality) Fix \(1 \le p < \infty\) and let \(q\) be the conjugate exponent, i.e.
\(\frac{1}{p} + \frac{1}{q} = 1.\)
Let \(f,g : X \to \mathbb{C}\) be measurable functions. Then
\[ \int_X |f g| \, d\mu \;\le\; \left( \int_X |f|^{p} \, d\mu \right)^{1/p} \left( \int_X |g|^{q} \, d\mu \right)^{1/q}=||f||_p ||f||_q. \]
Proof.
.png)
Remark. If \(p=2\) then \(q=2\) then Holder ineqaulty becomes Cauchy -Schawrz inequlity.
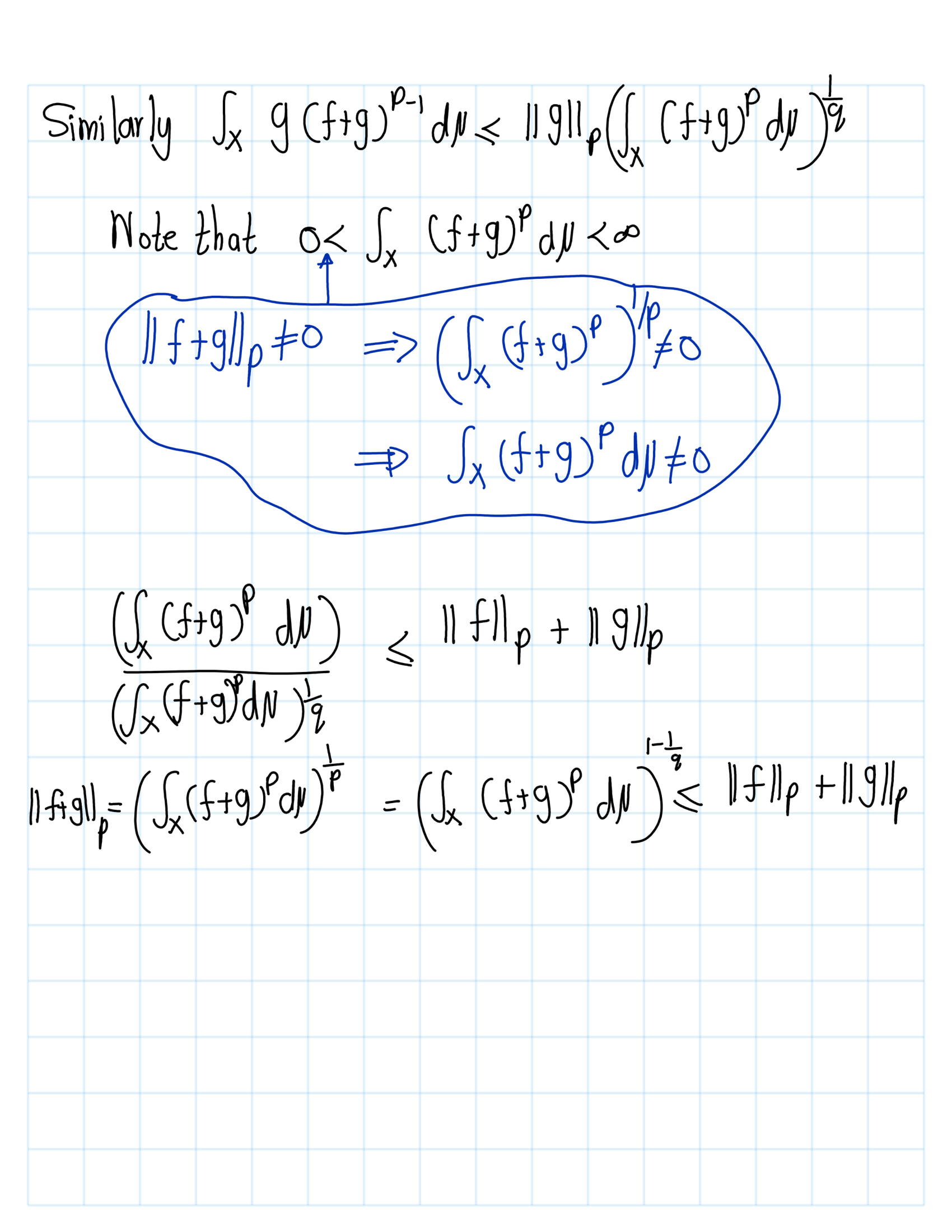
Theorem 1.2 (Minkowski's Inequality) Fix \(1 \le p \le \infty\). Let \(f,g : X \to \mathbb{C}\) be measurable functions. Then \[ \|f + g\|_{p} \le \|f\|_{p} + \|g\|_{p}. \]
Proof.

Next, we consider the following question:
Question : For which measurable functions \(f : X \to \mathbb{C}\) do we have \(\|f\|_{p} = 0\)?
Answer: By lemma ?? \(||f||_p=0 \iff f=0 ~[\mu] -\) a.e. Precisely those functions such that \(f(x) = 0\) for \(\mu\)-almost every \(x \in X\).
In particular, there are some functions \(f\) which are not identically zero but have zero \(\mathcal{L}^{p}\)-norm. This is unfortunate, so we typically consider the following quotient space:
We define
\[ {L}^{p}(X,\mathcal{T},\mu) = \frac{\mathcal{L}^{p}(X,\mathcal{T},\mu)}{N_{p}}, \]
where
\[ N_{p} = \{\, f \in \mathcal{L}^{p}(X,\mathcal{T},\mu) : \|f\|_{p} = 0 \,\}. \]
We have seen that for any \(\lambda \in \mathbb{C}\) and any \(f, g \in \mathcal{L}^{p}(X,\mathcal{T},\mu)\), we always have
\[\begin{align*} \|\lambda f\|_{p} &= |\lambda|\,\|f\|_{p},\\ \|f + g\|_{p} &\le \|f\|_{p} + \|g\|_{p}.\\ & \uparrow\\ &\text{ By Mink}\\ \end{align*}\]
Claim: \(\mathcal{L}^p\) is vector space over \(\mathbb{C}\).
Proof.
- Zero function
Let \(0(x) := 0\) for all \(x\). Then \(|0|^p = 0\) and \(\int_X |0|^p\,d\mu = 0 < \infty,\) so \(0 \in \mathcal{L}^p\).
- Closed under scalar multiplication
Let \(f \in \mathcal{L}^p\) and \(\lambda \in \mathbb{C}\). Then \[ |\lambda f|^p = |\lambda|^p |f|^p, \] so \[ \int_X |\lambda f|^p\,d\mu = |\lambda|^p \int_X |f|^p\,d\mu < \infty. \] Thus \(\lambda f \in \mathcal{L}^p\).
- Closed under addition
Let \(f,g \in \mathcal{L}^p\). Use the standard inequality for \(p \ge 1\): \[ |f+g|^p \le 2^{p-1}\big(|f|^p + |g|^p\big). \] Integrate: \[ \int_X |f+g|^p\,d\mu \le 2^{p-1} \left( \int_X |f|^p\,d\mu + \int_X |g|^p\,d\mu \right) < \infty, \] since both integrals on the right are finite. Hence \(f+g \in \mathcal{L}^p\).
- Vector space axioms
The pointwise operations \[ (f+g)(x) := f(x)+g(x), \quad (\lambda f)(x) := \lambda f(x) \] inherit associativity, commutativity, distributivity, etc., from \(\mathbb{C}\). Together with steps 1–3, this shows \(\mathcal{L}^p(X,\mathcal{T},\mu)\) is a vector space over \(\mathbb{C}\).
Then \[ L^{p}(X,\mathcal{T},\mu) = \frac{\mathcal{L}^{p}(X,\mathcal{T},\mu)}{N_{p}} \] is the quotient of this vector space by the subspace \(N_p\), so it is also a vector space.
Claim: \(N^p\) is subspace of \(\mathcal{L}^p\)
Proof. Let \(f,g\in N^p\) and \(\lambda\in \mathbb{C}\),
- \(0_{map}\in N^p\implies N^p \neq \emptyset\)
- \(\|\lambda f\|_{p} = |\lambda|\,\|f\|_{p}=0\)
- \(\|f + g\|_{p} \le \|f\|_{p} + \|g\|_{p}=0 \implies \|f + g\|_{p}=0.\)
Thus, \(N^p\) is a subspace of \(\mathcal{L}^p\).
Thus, \(L^p\) is subspace. Hence, \(N_{p}\) is a subspace of \(L^{p}(X,\mathcal{T},\mu)\); therefore \(L^{p}(X,\mathcal{T},\mu)\) is a vector space over \(\mathbb{C}\).
If for \(f \in L^{p}(X,\mathcal{T},\mu)\) we denote by \([f]\) its image in the quotient space \(L^{p}(X,\mathcal{T},\mu)\), then
\[ \lambda [f] + [g] = [\,\lambda f + g\,]. \]
Define \[\|[f]\|_p=\|f\|_p\] More ever, \(\|[\cdot]\|_p\) well defined.
Proof. Let \(f,g\in \mathcal{L}^p\) By Minkowski’s inequlirty we can get,
\[\begin{equation} \bigl|\,\|f\|_{p} - \|g\|_{p}\,\bigr| \;\le\; \|\,f - g\,\|_{p}, \qquad f,g \in L^{p}(X,\mathcal{T},\mu). \end{equation}\]
Suppos that \([f]=[g]\). Then, \(f-g\in N^p\implies f-g\in N^p\). Then \(\|\,f - g\,\|_{p}=0\). Thus,
\[\begin{align*}\bigl|\,\|f\|_{p} - \|g\|_{p}\,\bigr| \;\le\; \|\,f - g\,\|_{p}=0 & \implies \|[f-g] \|_p=0\\ &\implies \bigl|\,\|f\|_{p} - \|g\|_{p}\,\bigr|=0\\ &\implies \,\|f\|_{p} = \|g\|_{p} \end{align*}\]
Note that \(\|[f]\|_p = 0\) if and only \([f] = 0_{L^p}\) in \(L^p(X,I,\mu)\).
Proof.
- \(\mathbf{\implies}\) :
\[\begin{align*} \|[f]\|_p = 0 &\implies \|f\|_p = 0.\\ &\implies f\in N^p \\ & \implies [f] = [0] = 0_{L^p}\\ \end{align*}\] - \(\mathbf{\Longleftarrow}\) : \[\begin{align*} [f]=0_{L^p} & \implies [f]=[0]\\ & \implies f-0\in N^p\\ & \implies f\in N^p \\ & \implies \|f\|_p=0\\ & \implies \|[f]\|_p = \|f\|_p = 0. \end{align*}\]
Now we can avoid the problem that have earlier. Now we can defnie the norm.
Here’s a clean, well‑structured Markdown version of your text, with mathematical expressions formatted clearly and consistently.
1.2 A point of notation
For convenience, mathematicians agree to write \(f\) instead of \([f]\). This causes very little confusion; the only thing to keep in mind is that one can capture the behaviour of an element in \(L^p(X,\mathcal{T},\mu)\) only up to sets of zero \(\mu\)-measure. For the rest of this course, we will use this convention and write elements of the quotient space \(L^p\) simply as functions.
1.2.1 Summary
For \(1 \le p \le \infty\):
Vector space: \(L^p(X,\mathcal{T},\mu)\) is a vector space over \(\mathbb{C}\).
Definition of the \(p\)-norm: To every \(f \in L^p(X,\mathcal{T},\mu)\) we associate a non‑negative number defined by
\[ \|f\|_p = \left( \int_X |f|^p \, d\mu \right)^{1/p}, \qquad 1 \le p < \infty, \] and for \(p = \infty\), \[ \|f\|_\infty = \inf\{ M \ge 0 : |f(x)| \le M \text{ for almost every } x \}. \]Homogeneity: For every \(\lambda \in \mathbb{C}\) and \(f \in L^p(X,\mathcal{T},\mu)\), \[ \|\lambda f\|_p = |\lambda|\, \|f\|_p. \]
Triangle inequality: For every \(f,g \in L^p(X,\mathcal{T},\mu)\), \[ \|f + g\|_p \le \|f\|_p + \|g\|_p. \]
Definiteness: For every \(f \in L^p(X,\mathcal{T},\mu)\), \[ \|f\|_p \ge 0, \] with equality if and only if \(f = 0\) almost everywhere.
Properties (iii), (iv), and (v) show that \(\|\cdot\|_p\) defines a norm, so \(L^p(X,\mathcal{I},\mu)\) is a normed linear space.
Definition 1.4 Banach spaces are normed linear spaces with an additional property: they are complete, meaning every Cauchy sequence converges.
Our next task is to show that \(L^p(X,\mathcal{I},\mu)\) is a Bannch space. (We need to show that complete space)
Before doing so, we recall some important results from measure theory.
Lemma 1.4 (Chebyshev’s Inequality) Let \((X,\mathcal{T},\mu)\) be a measure space and let \(f\) be a non‑negative measurable function on \(X\).
Then, for every \(\lambda > 0\),
\[
\mu\{x \in X : f(x) \ge \lambda\}
\;\le\;
\frac{1}{\lambda} \int_X f \, d\mu.
\]
Proof. Let \(E_\lambda=\{x \in X : f(x) \ge \lambda\}\), Then, \[ \int_X f \,d\mu \geq \int_{E_\lambda} f \,d\mu \ge \int_{E_\lambda} \lambda \,d\mu =\lambda \int_{E_\lambda} \,d\mu =\lambda \mu(E_\lambda) \]
Lemma 1.5 (Borel–Cantelli Lemma) Let \((X,\mathcal{T},\mu)\) be a measure space and let \(\{E_n\}_{n=1}^\infty\) be a collection of measurable sets such that \(\sum_{n=1}^\infty \mu(E_n) < \infty.\) Then \(\mu\)-almost every \(x \in X\) belongs to at most finitely many of the sets \(E_n\).
Proof. \[\begin{align*} S&:=\left\{x\in X: x \text{ belongs to infinitly many }E_n\right\}\\ &=\bigcap_{N=1}^\infty \bigcup_{k=N}^\infty E_k \text{ (See latter picture.)} \end{align*}\]
\[\begin{align*} \mu(S) &\le \mu \left(\cup_{k=N}^\infty\right)\\ & \le \sum_{k=N}^\infty \mu(E_k) \text{ for all } N \end{align*}\] Then left hand side is goes to zero as \(N\to \infty\).
Lemma 1.6 (Fatou’s Lemma) Let \((X,\mathcal{T},\mu)\) be a measure space and let \(\{f_n\}_{n=1}^\infty\) be a sequence of non‑negative measurable functions on \(X\). Then, \[ \int_X \liminf_{n\to\infty} f_n \, d\mu \;\le\; \liminf_{n\to\infty} \int_X f_n \, d\mu. \]
Lemma 1.7 Let \((X,\mathcal{T},\mu)\) be a measure space and let \(1 \le p \le \infty\). Let \(\{f_n\}_{n=1}^\infty \subset L^p(X,\mathcal{T},\mu)\) be a sequence such that there exists a sequence of positive numbers \(\{\varepsilon_n\}_{n=1}^\infty\) with \[\sum_{n=1}^\infty \varepsilon_n < \infty, \text{ and } \|f_n - f_{n+1}\|_p \le \varepsilon_n^2, \qquad n \ge 1. \]
Then there exists \(f \in L^p(X,\mathcal{T},\mu)\) such that
pointwise a.e. convergence: \[ \lim_{n\to\infty} f_n(x) = f(x) \quad \text{for } \mu\text{-almost every } x \in X, \]
convergence in \(L^p\): \[ \lim_{n\to\infty} \|f - f_n\|_p = 0. \]
Proof.
: \((f_n)\) is cauchy.
For \(n,m \ge 1\), consider follwing \[\begin{align*} \| f_n-f_{n+m}\| &=\|f_n-f_{n+1}+f_{n+1}+\cdots +f_{n+m-1}-f_{n+m}\|\\ &=\|f_n-f_{n+1}\|+\|f_{n+1}-f_{n+2}\|+\cdots +\|f_{n+m-1}-f_{n+m}\|\\ &\ge \sum_{k=n}^{n+m-1} \|f_k-f_{k+1}\|\\ & \ge \sum_{k=n}^{n+m-1} \epsilon_k^2 \end{align*}\] Then left hand side is goes to zero as \(n \to 0\). Thus, \((f_n)\) is cauchy.
:
- \(p=\infty\): For \(n,m \ge 1\) then we have ,
\[\|f_n(x) − f_m(x)\| \le \|f_n −f_m\|_\infty \text{ for }[µ]\text{ -almost every} x \in X. \]
Hence, there is a measurable set \(E_{n,m} \subset X\) such that
\[\mu(X \setminus E_{n,m}) = 0 \text{ and } |f_n(x) - f_m(x)| \le \|f_n - f_m\|_\infty \quad \text{for every } x \in E_{n,m}~(\text{ By lemma \@ref(lem:lem111))}. \]
- \(p=\infty\): For \(n,m \ge 1\) then we have ,
\[\|f_n(x) − f_m(x)\| \le \|f_n −f_m\|_\infty \text{ for }[µ]\text{ -almost every} x \in X. \]
Hence, there is a measurable set \(E_{n,m} \subset X\) such that
Then the set \(E = \bigcap_{n,m} E_{n,m}\) is measurable and satisfies \[ \mu(X \setminus E) = \mu\!\left(X \setminus \bigcap_{n,m=1}^{\infty} E_{n,m}\right) = \mu\!\left(\bigcup_{n,m=1}^{\infty} (X \setminus E_{n,m})\right) \le \sum_{n,m=1}^{\infty} \mu(X \setminus E_{n,m}) = 0. \] and moreover,
\[ |f_n(x) - f_m(x)| \le \|f_n - f_m\|_\infty \quad \text{for every } x \in E \text{ and every } n,m \in \mathbb{N}. \]
Thus, for every \(x \in E\), the sequence \(\{f_n(x)\}_n \subset \mathbb{C}\) is Cauchy.
Since \(\mathbb{C}\) is complete, we may define a measurable function \(f : X \to \mathbb{C}\) by
\[ f(x) = \lim_{n \to \infty} f_n(x), \qquad x \in E. \]
- \(p<\infty\)
Theorem 1.3 (Riesz–Fischer) Let \((X, \mathcal{T}, \mu)\) be a measure space and let \(1 \le p \le \infty\).
Then the space \(L^{p}(X, \mathcal{T}, \mu)\) is complete.
Proof. Let \(\{f_n\}_{n\in\mathbb{N}} \subset L^{p}(X,\mathcal{T},\mu)\) be a Cauchy sequence.
Claim 1: There exist a subsequnce \(g_n\) of \(f_n\) such that \(\|g_n-g_{n+1}\|_p\le \frac{1}{4^n}\) for all \(n\). Defnie
- Let \(\varepsilon = \tfrac{1}{4}\). Then there exists \(N_{1} \in \mathbb{N}\) such that \(n, m \ge N_{1} \implies \lVert f_{n} - f_{m} \rVert_{p} \le \tfrac{1}{4}\).
Define \(\mathbf{g_{1} = f_{N_1}}\). - Let \(\varepsilon = \tfrac{1}{4^2}\). Then there exists \(N_{2} \in \mathbb{N}\) anḍ \(N_2 \geq N_1\) such that \(n, m \ge N_{2} \implies \lVert f_{n} - f_{m} \rVert_{p} \le \tfrac{1}{4^2}\).
Define \(\mathbf{g_{2} = f_{N_2}}\).
\(~~~~~~~~~~~~ \vdots~~~~~~~~~~~~ \vdots ~~~~~~~~~~~~ \ \vdots ~~~~~~~~~~~~ \ \vdots~~~~~~~~~~~~ \vdots~~~~~~~~~~~~ \vdots~~~~~~~~~~~~ \vdots~~~~~~~~~~~~ \vdots~~~~~~~~~~~~ \vdots~~~~~~~~~~~~ \vdots~~~~~~~~~~~~ \vdots\)
Let \(\varepsilon = \tfrac{1}{4^k}\). Then there exists \(N_{k} \in \mathbb{N}\) and \(N_{k} \geq N_{k-1}\) such that \(n, m \ge N_{k} \implies \lVert f_{n} - f_{m} \rVert_{p} \le \tfrac{1}{4^k}\).
Define \(\mathbf{g_{k} = f_{N_k}}\).
\(~~~~~~~~~~~~ \vdots~~~~~~~~~~~~ \vdots ~~~~~~~~~~~~ \ \vdots ~~~~~~~~~~~~ \ \vdots~~~~~~~~~~~~ \vdots~~~~~~~~~~~~ \vdots~~~~~~~~~~~~ \vdots~~~~~~~~~~~~ \vdots~~~~~~~~~~~~ \vdots~~~~~~~~~~~~ \vdots~~~~~~~~~~~~ \vdots\) Then \(\|g_k-g_{k+1}\|=\|f_{N_k}-f_{N_{k+1}}\| \le \frac{1}{4^k}\) for all \(k\), because \(N_k,N_{k+1}\ge N_k\).Then by lemma 1.7, there exist \(f\in L^p\) such that \(\|g-g_n\|_p \to 0\) and \(g_n(x)\to f [\mu]-\) a.e on \(X\). (i.e.: \(\{g_n\}_n\) converges to \(f\) in the \(p\)-norm.) But Cauchy sequences can have at most one cluster point, so that the original sequence \(\{f_n\}_n\) must converge to \(f\).
Therefore, we see that \(L^{p}(X,\mathcal{T},\mu)\) is a Banach space (complete normed space)for \(1 \le p \le \infty\). You may notice a useful corollary of Lemma 1.7 and the proof above: Every Cauchy sequence in \(L^{p}(X,\mathcal{T},\mu)\) has a subsequence converging pointwise almost everywhere to some function in the space.
1.3 Banach spaces and linear operators
1.3.1 Terminology
Let \(X\) be a vector space over \(\mathbb{C}\).
Definition 1.5 (norm) A norm is a function \(\|\cdot\| : X \to [0,\infty)\) with the following properties:
- If \(x \in X\), then \(\|x\| = 0\) if and only if \(x = 0\).
- If \(x,y \in X\), then \(\|x+y\| \le \|x\| + \|y\|\).
- If \(x \in X\) and \(\lambda \in \mathbb{C}\), then \(\|\lambda x\| = |\lambda|\,\|x\|\).
The pair \((X,\|\cdot\|)\) is a normed space.
It is easily verified that each normed space is a metric space, if we set \(d(x,y) = \|x - y\|.\)
In particular, normed spaces are topological spaces, where the topology is induced by this metric. For instance, a sequence \(\{x_n\}_n \subset X\) converges to \(x \in X\) if and only if
\[ \lim_{n\to\infty} \|x - x_n\| = 0. \]
It is useful to note that the function
\[ X \to [0,\infty), \qquad x \mapsto \|x\| \]
is continuous, in view of the inequality
\[ \big|\,\|x\| - \|y\|\,\big| \le \|x - y\|, \qquad x,y \in X. \]
Norms are not necessarily unique.
Definition 1.6 (Equivalent of norms) Given two norms \(\|\cdot\|_1\) and \(\|\cdot\|_2\) on \(X\), we say that they are equivalent if there are positive constants \(C_1, C_2\) such that
\[ C_1 \|x\|_1 \le \|x\|_2 \le C_2 \|x\|_1, \qquad x \in X. \]
1.3.2 Linear operators
Definition 1.7 Let \(X\) and \(Y\) be two vector spaces. A linear operator is a mapping \(T : X \to Y\) which preserves the linear structure, in other words
\[ T(\alpha x + y) = \alpha T x + T y, \qquad x,y \in X,\ \alpha \in \mathbb{C}. \]
Definition 1.8 (bounded Linear Opeartor) Suppose in addition that \(X\) and \(Y\) are normed spaces, and let \(T : X \to Y\) be a linear operator. We say that \(T\) is bounded provided that there is a constant \(M \ge 0\) satisfying
\[ \|Tx\| \le M \|x\|, \qquad \forall x \in X. \]
Definition 1.9 The operator norm of \(T\) is the infimum of such constants \(M\), and is denoted by \(\|T\|\). i.e.: \[\text{Operator norm of } T=||T||:=\inf\left\{M>0:\|Tx\| \le M \|x\|, \qquad \forall x \in X \right\}\]
Remark. We note that to check that a given operator \(T : X \to Y\) is bounded, it suffices to check the condition
\[ \|Tx\| \le M \|x\| \]
for every \(x \neq 0\), since \(T0 = 0\) by linearity.
Notation: \(B(X,Y)=\) the collection of all bounded linear operators from \(X\) to \(Y\).
Lemma 1.8 Let \(X, Y\) be normed spaces and \(T \in B(X,Y)\). Then,
\[ \|Tx - Ty\| \le \|T\|\,\|x - y\|, \qquad x,y \in X. \]
Proof. There is a sequence \(\{M_n\}_n\) of positive constants such that
\[ \|Tx\| \le M_n \|x\|, \qquad x \in X,\ n \in \mathbb{N}, \]
and \(\lim_{n\to\infty} M_n = \|T\|\). Thus, we conclude that
\[ \|Tx\| \le \|T\|\,\|x\|, \qquad x \in X. \]
The claim now follows by linearity:
\[ \|Tx - Ty\| = \|T(x - y)\| \le \|T\|\,\|x - y\|. \]
Theorem 1.4 Let \(X, Y\) be normed spaces and \(T : X \to Y\). TFAE
- \(T\) is continuous.
- \(T\) is continuous at \(0\).
- \(T \in B(X,Y) ~(T\) is bounded)
.png)
.png)